Соціальні автобуси у Донецькій громаді: оновлений розклад на січень
Як курсуватимуть соціальні автобуси у Донецькій громаді Ізюмського району в січні.
Про це «Слобідський край» пише з посиланням на Донецьку селищну раду.
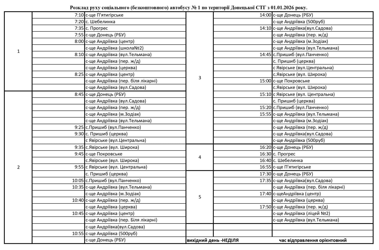
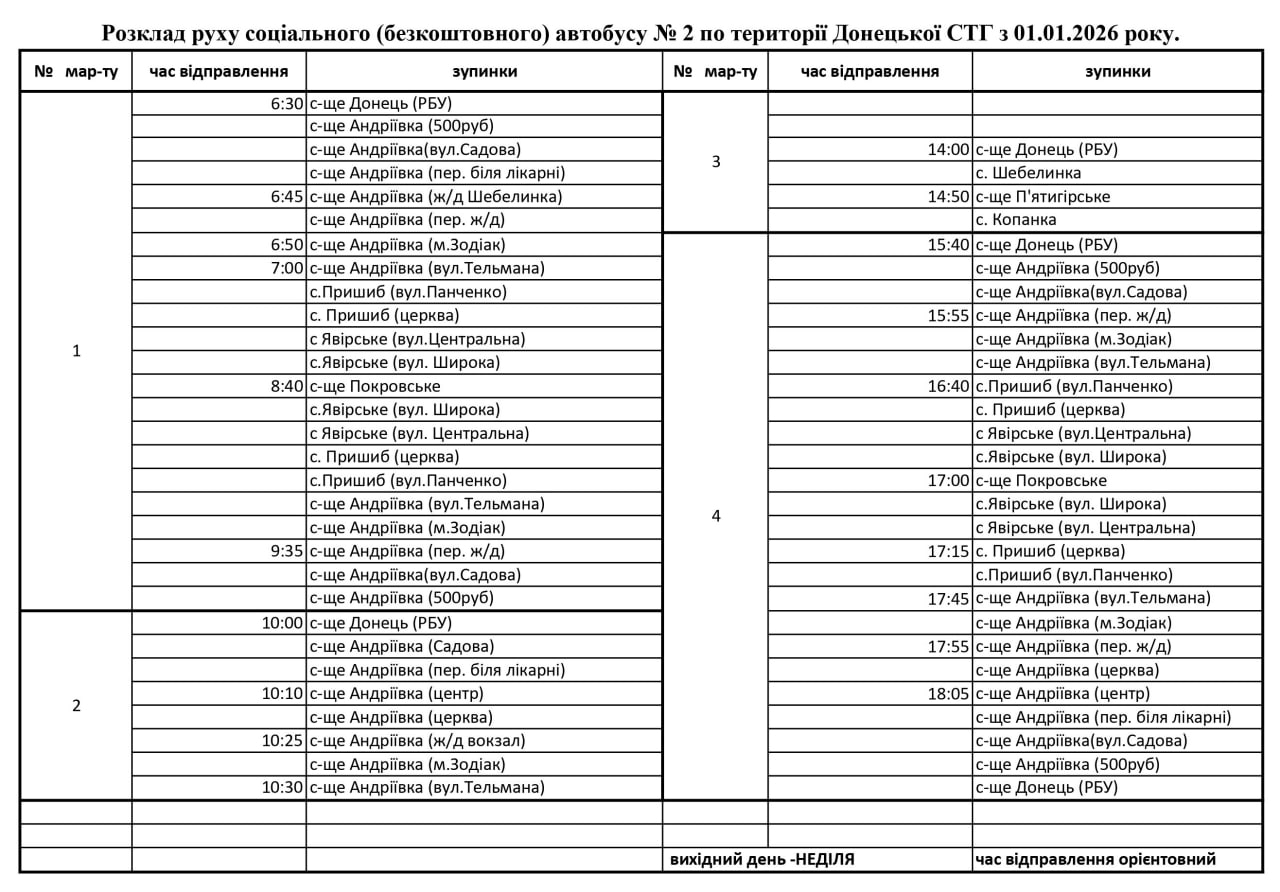
У січні 2026 року соціальні автобуси в Донецькій громаді курсуватимуть таким чином:


Розклад соціальних автобусів на січень / Фото: Донецька селищна рада
Нагадаємо, нещодавно у селі Пришиб Донецької громади відкрили Алею Слави — меморіальний простір пам’яті жителів громади, які загинули, захищаючи Україну. Алею облаштували поруч із пам’ятниками учасникам Другої світової війни та ліквідаторам аварії на ЧАЕС.
Ваша підтримка – запорука нашої щоденної праці. Ставайте частиною спільноти «Слобідського краю».
У зв'язку з ремонтом деякі поїзди на Харківщині курсуватимуть за зміненим графіком
В Україні запровадили єдиний квиток на весь транспорт: як це працює
У центрі Харкова обмежили рух транспорту через наслідки обстрілу
Немає напруги: у Харкові тимчасово перестане курсувати один тролейбус